衰老是生物系统完整性的一种逐渐的、渐进式的退化,被认为是由细胞水平的积累变化引起的。已有研究发现衰老伴随着睡眠质量的下降,在中老年人中尤为显著。然而,睡眠和衰老加速之间的因果关系仍然存在争议。由于缺乏对衰老的精确测量,阐明衰老和睡眠之间的因果关系受到了很大的限制。
年龄相同的人可能不会有相同的衰老相关症状,一些人可能会比其他人更快地经历与年龄相关的衰退。此外,生物学衰老是一个复杂的过程,涉及多个器官和系统,单一的与衰老相关的生物标志物,可能无法完全描述个体衰老过程的整体情况。因此生物学年龄(biological age),例如KDM-生物学年龄和表型年龄(PhenoAge)被提出并进行了长期的探索。生物学年龄与实际年龄的差距,即年龄加速(age accelerations)被证明与老龄化相关的健康结果和死亡率高度相关。
空气污染,特别是细颗粒物(PM2.5)是一种重要的环境暴露,可能会加速衰老并影响睡眠质量。然而,由于睡眠和衰老的因果关系仍然不清楚,无法阐明睡眠(或生物学衰老水平)是否可以调节空气污染对另一方的影响。
2022年4月14日,北京大学公共卫生学院的高旭团队在Aging Cell期刊发表了题为“Role of sleep quality in the acceleration of biological aging and its potential for preventive interaction on air pollution insults: Findings from the UK Biobank cohort”的研究论文,探讨了睡眠和衰老的因果关系,揭示了良好的睡眠质量可以减缓空气污染导致的生物学衰老的加速。

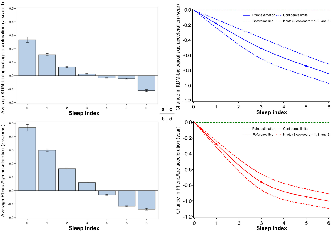
研究根据自我报告打鼾、作息时间、白天嗜睡情况、睡眠时长、失眠和起床是否困难进行评分,获得睡眠指数。采用成熟的算法估计KDM-生物学年龄和表型年龄,将其与实际年龄的残差定义为年龄加速。作者控制潜在的混杂因素后,首先观察到了睡眠指数与平均KDM-生物学年龄加速和表型年龄加速之间存在显著的负相关关系。睡眠指数每增加一个单位,KDM-生物学年龄加速和表型年龄加速就分别下降0.104和0.119年,进一步分析发现他们之间存在显著的剂量反应关系(图1)。在这一步分析中,作者最后采用睡眠指数和生物学年龄的遗传风险评分,使用孟德尔随机化验证了年龄加速的上升是由睡眠质量较低造成的。该结果提示:槽糕的睡眠质量会加速生物学年龄。

图1 睡眠指数和平均年龄加速的关系及最佳拟合曲线
(图源:Gao X, et al., Aging Cell, 2022)
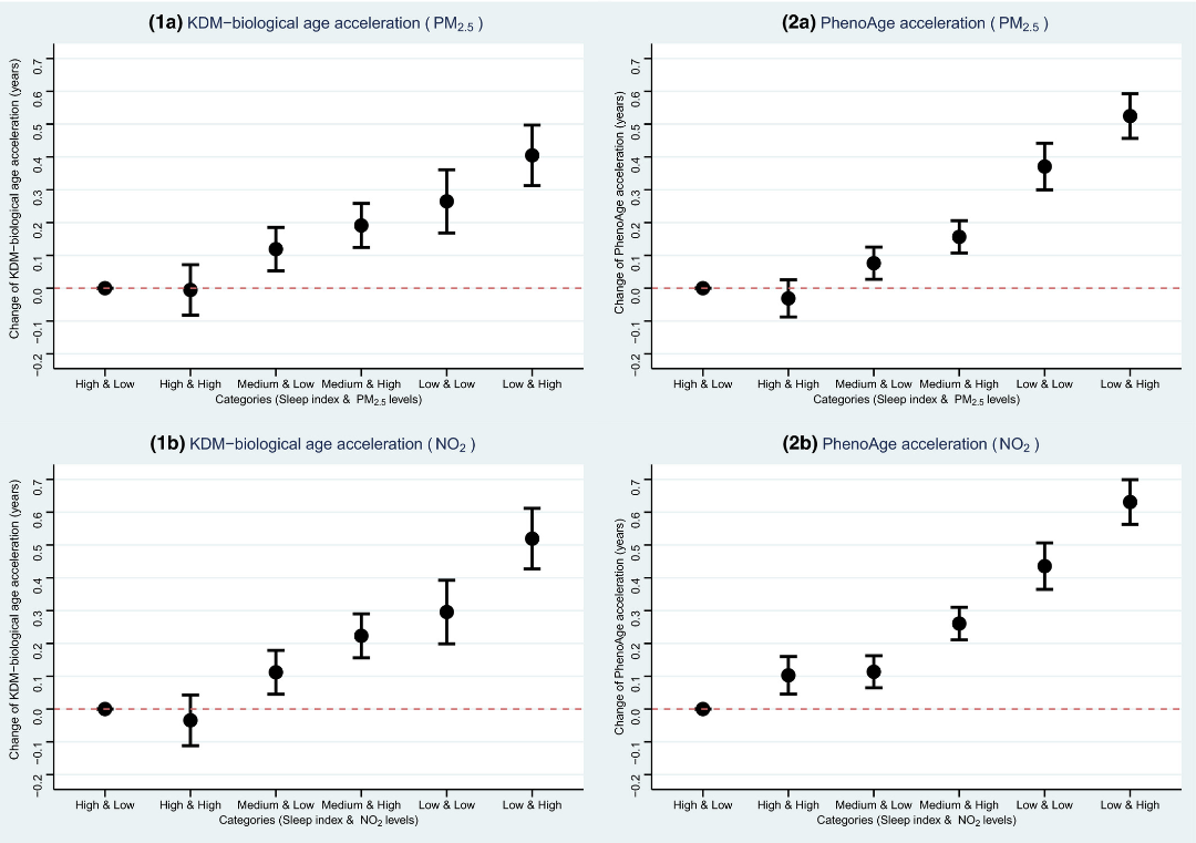
基于已发现的睡眠与生物学年龄的因果关联,作者进一步观察了五种空气污染物(包括PM2.5、PMcoarse、PM10、NO2、NOx)的年均暴露水平与睡眠对年龄加速的联合作用,以及睡眠质量是否会介导空气污染对生物学年龄加速的作用,该研究发现其中PM2.5、NO2与睡眠指数对平均KDM-生物学年龄加速和表型年龄加速具有联合作用,随着睡眠指数的降低和污染物浓度的增高,两种年龄加速具有明显增加的趋势(图2)。该结果提示:睡眠质量低,且暴露于高浓度污染物的人群,具有更高的年龄加速。

图2 睡眠指数和空气污染水平与生物年龄加速的联合关系
(图源:Gao X, et al., Aging Cell, 2022)

图3 睡眠质量对空气污染导致的生物年龄加速的调节作用
(图源:Gao X, et al., Aging Cell, 2022)
由于睡眠是可以人为干预的因素,研究进一步分析了睡眠质量对空气污染导致的年龄加速的潜在调节作用。作者发现睡眠质量可以改善空气污染导致的生物学年龄加速(P<0.001)(图3),PM2.5和NO2与两种生物学年龄加速存在较为显著的非线性关系,PM2.5且睡眠质量对两种生物学年龄加速变化的影响具有较明显的区别(图4和图5)。该结果提示:较好的睡眠质量可以改善空气污染导致的衰老加速。

图4 睡眠质量对PM2.5导致的生物年龄加速的最佳拟合曲线
(图源:Gao X, et al., Aging Cell, 2022)

图5 睡眠质量对NO2导致的生物年龄加速的最佳拟合曲线
(图源:Gao X, et al., Aging Cell, 2022)
原文作者观点:
综上,该研究在大样本的中老年人群中,通过两种较为成熟的生物学年龄算法计算生物学年龄,综合了六种睡眠行为全面评估了睡眠质量,并通过孟德尔随机化法的因果推断测试揭示了睡眠质量和衰老的因果关系,首次发现了较好的睡眠质量可以延缓生物学衰老,并且睡眠和空气污染对生物学衰老具有单独和联合作用,较好的睡眠质量或可会减缓空气污染对衰老的加速作用。本研究不仅为睡眠对衰老的影响提供了探索性证据,也强调了高质量睡眠作为一种干预手段的重要性,以减轻长期空气污染暴露对人体衰老的加速作用。
原文链接:
https://onlinelibrary.wiley.com/doi/10.1111/acel.13610
本文转自逻辑神经科学